El impacto de especificar incorrectamente la distribución de los efectos aleatorios en las estimaciones de modelos lineales generalizados mixtos
The impact of misspecifying random efects distribution on the estimation of generalized linear mixed models
Archivos adicionales
Resumen (es)
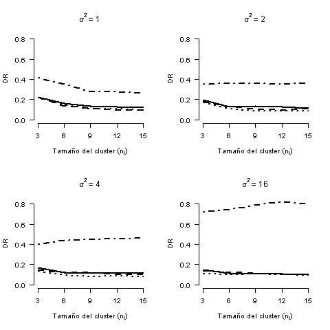
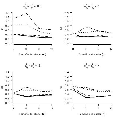
La inferencia en modelos lineales generalizados mixtos está basada principalmente en la teoría de máxima verosimilitud, la cual asume que las estructuras tanto para la parte de los efectos fijos como de los efectos aleatorios están correctamente especificadas. Algunos autores han mostrado la sensibilidad de las estimaciones de los efectos fijos a especificaciones incorrectas de los efectos aleatorios. El objetivo de esta investigación es identificar, vía simulación, el impacto de la especificación incorrecta de la distribución de los efectos aleatorios en los modelos lineales generalizados mixtos, específicamente para los casos de las distribuciones Poisson y Binomial NegativaResumen (en)
Inference in generalized linear mixed models is often based on maximum likelihood theory, which assumes that structures of both fixed effects and random effects is correctly specified. Some authors have shown sensitivity of estimates of fixed effects to random-effects misspecifications. This research aims to identify, using simulation, the impact of misspecifying random-effects distribution in generalized linear mixed models, specifically for the cases of Poisson and Negative Binomial distributions.
Referencias
Alonso, A., Litière, S. & Molenberghs, G. (2008), 'A family of tests to detect misspecifications in the random-effects structure of generalized linear mixed models', Computational statistics and data analysis 52(9), 4474_4486.
Alonso, A., Litière, S. & Molenberghs, G. (2010), 'Testing for misspecification in generalized linear mixed models', Biostatistics 11(4), 771_786.
Alonso, A., Milanzi, E., Molenberghs, G., Buyck, C. & Bijnens, L. (2015), 'A new modeling approach for quantifying expert opinion in the drug discovery process', Statistics in medicine 34(9), 1590_1604.
Bolker, B. M., Brooks, M. E., Clark, C. J., Geange, S. W., Poulsen, J. R., Stevens, M. H. H. & White, J. S. (2009), 'Generalized linear mixed models: a practical guide for ecology and evolution', Trends in ecology and evolution 24(3), 127_
Cook, R. J., Lee, K. A. & Li, H. (2007), 'Non-inferiority trial design for recurrent events', Statistics in medicine 26(25), 4563_4577.
DeGroot, M. H. & Schervish, M. J. (1988), Probabilidad y estadística, Editorial Addison Wesley, Mexico.
Fabio, L. C., Paula, G. A. & De Castro, M. (2012), 'A Poisson mixed model with nonnormal random effect distribution', Computational Statistics and Data Analysis 56(6), 1499_1510.
Fitzmaurice, G. M., Laird, N. M. & Ware, J. H. (2011), Applied longitudinal analysis, segunda edn, John Wiley and Sons, Boston, Massachusetts.
Gad, A. M. & El Kholy, R. B. (2012), 'Generalized Linear mixed models for Longitudinal Data', International Journal of Probability and Statistics 1(3), 41_47.
Heagerty, P. J. & Kurland, B. F. (2001), 'Misspecified maximum likelihood estimates and generalised linear mixed models', Biometrika 88(4), 973_985.
Hilbe, J. M. (2011), Negative binomial regression, Cambridge University Press.
Huang, X. (2009), 'Diagnosis of Random-Effect Model Misspecification in Generalized Linear Mixed Models for Binary Response', Biometrics 65(2), 361_368.
Komárek, A. & Lesaffre, E. (2008), 'Generalized linear mixed model with a penalized Gaussian mixture as a random effects distribution', Computational Statistics and Data Analysis 52(7), 3441_3458.
Kondo, Y., Zhao, Y. & Petkau, J. (2015), 'A flexible mixed-effect negative binomial regression model for detecting unusual increases in MRI lesion counts in individual multiple sclerosis patients', Statistics in medicine 34(13), 2165_
Litière, S., Alonso, A. & Molenberghs, G. (2007), 'Type I and Type II Error Under Random-Effects Misspecification in Generalized Linear Mixed Models', Biometrics 63(4), 1038_1044.
Litière, S., Alonso, A. & Molenberghs, G. (2008), 'The impact of a misspecified random-effects distribution on the estimation and the performance of inferential procedures in generalized linear mixed models', Statistics in medicine (16), 3125_3144.
McCulloch, C. E. & Neuhaus, J. M. (2011), 'Misspecifying the shape of a random effects distribution: why getting it wrong may not matter', Statistical science pp. 388_402.
Milanzi, E., Alonso, A. & Molenberghs, G. (2012), 'Ignoring overdispersion in hierarchical loglinear models: Possible problems and solutions', Statistics in medicine 31(14), 1475_1482.
Molenberghs, G. & Verbeke, G. (2005), Models for Discrete Longitudinal Data. Springer Series in Statistics, Springer.
Neuhaus, J. M., Hauck, W. W. & Kalbfleisch, J. D. (1992), 'The effects of mixture distribution misspecification when fitting mixed-effects logistic models', Biometrika 79(4), 755_762.
Neuhaus, J. M. & McCulloch, C. E. (2006), 'Separating between-and within-cluster covariate effects by using conditional and partitioning methods', Journal of the Royal Statistical Society: Series B (Statistical Methodology) 68(5), 859_
Neuhaus, J. M. & McCulloch, C. E. (2011a), 'Estimation of covariate effects in generalized linear mixed models with informative cluster sizes', Biometrika(1), 147_162.
Neuhaus, J. M. & McCulloch, C. E. (2011b), 'The effect of misspecification of random e_ects distributions in clustered data settings with outcome-dependent sampling', Canadian Journal of Statistics 39(3), 488_497.
Neuhaus, J. M., McCulloch, C. E. & Boylan, R. (2011), 'A Note on Type II Error Under Random Effects Misspecification in Generalized Linear Mixed Models', Biometrics 67(2), 654_656.
Neuhaus, J. M., McCulloch, C. E. & Boylan, R. (2012), 'Estimation of covariate effects in generalized linear mixed models with a misspecified distribution of random intercepts and slopes', Statistics in medicine 32(14), 2419_2429.
Spiessens, B., Lesaffre, E., Verbeke, G. & Kim, K. (2002), 'Group Sequential Methods for an Ordinal Logistic Random-Effects Model Under Misspecification', Biometrics 58(3), 569_575.
Tsonaka, R., Rizopoulos, D., Verbeke, G. & Lesa_re, E. (2010), 'Nonignorable models for intermittently missing categorical longitudinal responses', Biometrics(3), 834_844.
Valencia, A. (2014), 'El uso de la distribución gh en riesgo operativo', Contaduría y administración 59(1), 123_148.
Verbeke, G. & Lesaffre, E. (1997), 'The effect of misspecifying the random-effects distribution in linear mixed models for longitudinal data', Computational Statistics and Data Analysis 23(4), 541_556.
Verbeke, G. & Molenberghs, G. (2013), 'The gradient function as an exploratory goodness-of-_t assessment of the random-effects distribution in mixed models', Biostatistics 14(3), 477.
Xiang, L., Yau, K. K. & Lee, A. H. (2012), 'The robust estimation method for a_nite mixture of Poisson mixed-effect models', Computational Statistics and Data Analysis 56(6), 1994_2005.
Zhao, Y., Li, D. K., Petkau, A. J., Riddehough, A. & Traboulsee, A. (2014), 'Detection of unusual increases in MRI lesion counts in individual multiple sclerosis patients', Journal of the American Statistical Association 109(505), 119_132.
Cómo citar
Licencia
Los autores mantienen los derechos sobre los artículos y por tanto son libres de compartir, copiar, distribuir, ejecutar y comunicar públicamente la obra bajo las condiciones siguientes:
Reconocer los créditos de la obra de la manera especificada por el autor o el licenciante (pero no de una manera que sugiera que tiene su apoyo o que apoyan el uso que hace de su obra).
Comunicaciones en Estadística está bajo una licencia Creative Commons Atribución-NoComercial-CompartirIgual 4.0 Internacional (CC BY-NC-SA 4.0)





